欢迎访问鹿泉区人民政府网站!
无障碍浏览进入适老化繁体版 丨 简体版
首页  > 政府信息公开  > 法定主动公开内容  > 行政执法公示  > 执法机关  > 烟草局  > 事前事后公开  > 事前公开
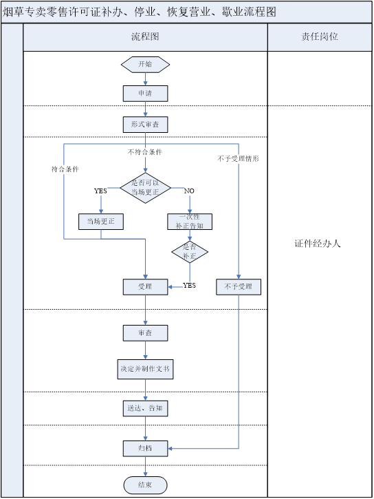
石家庄市鹿泉区烟草专卖局行政许可流程图
2025-07-18  来源:  浏览次数:1
石家庄市鹿泉区烟草专卖局行政许可流程图